Мышко Ольга
Telegram: @Myshko_Olga
Email: olgamyshko@gmail.com Тел.: +380959205701 Личные данные
В. В. Мещерикова, Л.Л. Вайнсон, Н. Кухина, г. Москва, Россия, г. Ришон ли Цион, Израиль
В развитие прежних исследований (Векслер и др, 2002), в экспериментах на изолированных клетках выявлено, что усиление действия облучения гомогенатом ДН-1 происходит селективно, проявляясь только в отношении опухолевых клеток (мышиные - меланома В-16, карцинома легкого Льюис и саркома ЕМТ-6 и аденокарцинома толстого кишечника человека линии НТ-29), не влияя на радиочувствительность нормальных клеток близкого генеза (клетки кишечника эмбриона человека).
Полученные данные послужили основанием для оценки радиосенсибилизирующего эффекта ДН-1 в опытах с перевивными опухолями мышей, моделирующих лучевую терапию.
В предварительных экспериментах были изучены разные режимы применения ДН-1 — время, дозы, способ и продолжительность введения. Оптимальные режимы применения препарата были использованы при оценке его сочетанного действия с облучением при облучении двух видов мышиных опухолей — меланомы В-16 и карциномы легкого Льюис.
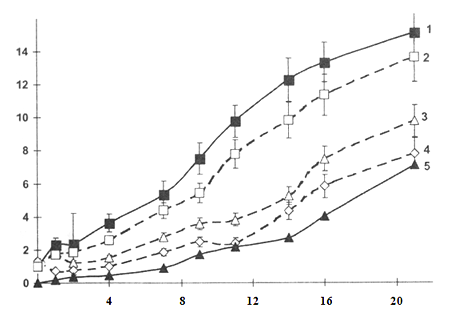
Полученные результаты представлены на рис. 1-4. Видно, что изученный бактериальный гомогенат существенном усиливает радиационное поражение экспериментальных опухолей, в разной степени выраженное в зависимости от гистогенеза опухоли (рис. 1—3), что, в свою очередь, сопровождается удлинением жизни животных (рис. 2—4). При этом, как следует из данных, ранее полученных на клеточных культурах, чрезвычайно важно, что эффект радиосенсибилизации проявляется селективно в отношении злокачественных клеток.
Подтверждение подобной избирательности в организме требует специальных исследований. Необходимо также проведение дальнейших экспериментов по оценке радиосенсибилизирующего эффекта гомогената при фракционированном, многократном, облучении, которое реально используется в онкорадиологи- ческой клинике.
Рис.1. Динамика роста мышиной меланомы В-16 после локального гамма-облучения опухолей на фоне или ежедневного введения 0,2 мл 10%-ного ДН-1 до облучения, или его внутриопухолевого (в/о) введения за 1 час до облучения.
Vt/Vo

Дни после облучения
Кривые:
1 - облучение 20 Гр
2 - ДН-1(в/о за час)+облучение 20 Гр
3 - облучение 20 Гр + ДН-1(рег os)
4 - ДН-1(рег os) +в/о за 1 час+20 Гр+(рег os)
5 - облучение 25 Гр
Рис.2. Динамика гибели животных с меланомой В-16 после локального облучения на фоне введения по 0,2 мл 10%-ного ДН-1 в различных режимах

Дни после облучения
Кривые:
1 - облучение 20 Ц)
2 - ДН-1 (в/о за час)+облучение 20 Гр
3 - облучение 20 Гр + ДН-1 (per os)
4 - ДН-1(рег os) +в/о за 1 час+20 Гр+(рег os)
5 - облучение 25 Гр
|
|